#694. FAREWELL - Chia tay

Bộ nhớ: 256 MiB Thời gian: 1000 ms Nhập/xuất từ luồng chuẩn
Kiểu bài: Thông thường Kiểu chấm: Trình chấm ngoài
Đưa lên bởi: Trùm CUỐI

Đề bài

Đất nước Alpha có N thành phố và N – 1 đoạn đường nối các thành phố, tất cả các thành phố luôn đảm bảo sự đi lại với nhau.

Alice và Jonh là một cặp vợ chồng, họ quyết định chia tay nhau (vì lý do gì thì chẳng ai biết). Họ ghét nhau đến nỗi mỗi người sẽ tìm một thành phố để ở mà khoảng cách giữa hai thành phố của họ là xa nhất.

Yêu cầu: Hãy giúp cặp đôi không hạnh phúc này tìm hai thành phố thỏa mãn yêu cầu trên.

Dữ liệu vào:

  • Dòng đầu chứa số nguyên N\ (1≤N≤10^5) ;
  • N-1 dòng tiếp theo chứa hai số a b thể hiện có đường đi trực tiếp giữa thành phố a b .

Dữ liệu ra:

  • Một dòng duy nhất ghi hai thành phố mà họ sẽ ở.

Ví dụ:

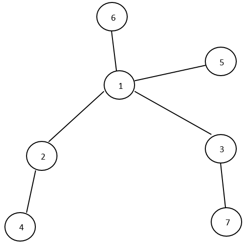
Dữ liệu vào:
7
1 6
1 2
1 3
1 5
3 7
2 4

Dữ liệu ra:

4 7