#541. TOPOSORT – Sắp xếp TOPO

Bộ nhớ: 256 MiB Thời gian: 1000 ms Nhập/xuất từ luồng chuẩn
Kiểu bài: Thông thường Kiểu chấm: Trình chấm ngoài
Đưa lên bởi: Trùm CUỐI

Đề bài

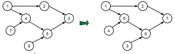
Cho đồ thị có hướng không chu trình (Directed Acyclic Graph - DAG) G(V, E) . Hãy đánh số lại các đỉnh của G sao cho chỉ có cung nối từ đỉnh có chỉ số nhỏ đến đỉnh có chỉ số lớn hơn.

Dữ liệu vào:

  • Dòng đầu chứa hai số nguyên n m là số đỉnh và số cung của đồ thị G ;
  • m dòng tiếp theo, mỗi dòng chứa một cặp số u, v cho biết một cung nối từ u tới v trong G .

Dữ liệu ra:

  • Ghi ra n số nguyên dương, số thứ i là chỉ số của đỉnh thứ i sau khi đánh số lại. Hai số trên cùng một dòng được ghi cách nhau một dấu cách.

Ví dụ:

Dữ liệu vào:
7 7
1 2
1 4
2 3
4 5
6 5
5 3
7 4
Dữ liệu ra:
1 2 7 5 6 3 4

Giới hạn:

  • 1 ≤ n ≤ 100; 0 ≤ m ≤ \frac{n(n – 1)}{2} .